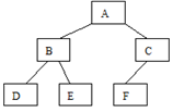
全国二级理论——1.2数据结构与算法 本套试题共50题。 1. 班级:格式如“19计应31”2. 学号:10位数完整格式3. 姓名:4. 下列叙述中正确的是______。A. 顺序存储结构的存储一定是连续的,链式存储结构的存储空间不一定是连续的B. 顺序存储结构只针对线性结构,链式存储结构只针对非线性结构C. 顺序存储结构能存储有序表,链式存储结构不能存储有序表D. 链式存储结构比顺序存储结构节省存储空间5. 下列叙述中正确的是______。A. 线性表的链式存储结构与顺序存储结构所需要的存储空间是相同的B. 线性表的链式存储结构所需要的存储空间一般要多于顺序存储结构C. 线性表的链式存储结构所需要的存储空间一般要少于顺序存储结构D. 上述三种说法都不对6. 一棵二叉树中共有70个叶子结点与80个度为1的结点,则该二叉树中的总结点数为______。A. 219B. 221C. 229D. 2317. 下列叙述中正确的是______。A. 一个逻辑数据结构只能有一种存储结构B. 数据的逻辑结构属于线性结构,存储结构属于非线性结构C. 一个逻辑数据结构可以有多种存储结构,且各种存储结构不影响数据处理的效率D. 一个逻辑数据结构可以有多种存储结构,且各种存储结构影响数据处理的效率8. 下列叙述中正确的是______。A. 线性表链式存储结构的存储空间一般要少于顺序存储结构B. 线性表链式存储结构与顺序存储结构的存储空间都是连续的C. 线性表链式存储结构的存储空间可以是连续的,也可以是不连续的D. 以上说法都不对9. [(1)冒泡排序法:是一种最简单的交换类排序法,它是通过相邻数据元素的交换逐步将线性表变成有序。假设线性表的长度为n,则在最坏情况下,冒泡排序需要经过n/2遍的从前往后的扫描和n/2遍的从后往前的扫描,需要比较的次数为n(n-1)/2次。因此冒泡排序总的时间复杂度为O(n2)。]10. [(2)直接插入排序:每次从无序表中取出第一个元素,把它插入到有序表的合适位置,使有序表仍然有序。直接插入排序属于稳定的排序,最坏时间复杂度为O(n2)。]11. 某二叉树的前序序列为ABCD,中序序列为DCBA,则后序序列为______。A. BADCB. DCBAC. CDABD. ABCD12. 一个栈的初始状态为空。现将元素1、2、3、4、5、A、B、C、D、E依次入栈,然后再依次出栈,则元素出栈的顺序是______。A. 12345ABCDEB. EDCBA54321C. ABCDE12345D. 54321EDCBA13. 下列序列中不满足堆条件的是______。A. (98,95,93,94,89,90,76,80,55,49)B. (98,95,93,94,89,85,76,64,55,49)C. (98,95,93,94,89,90,76,64,55,49)D. (98,95,93,96,89,85,76,64,55,49)14. 下列叙述中正确的是______。A. 循环队列中的元素个数随队头指针与队尾指针的变化而动态变化B. 循环队列中的元素个数随队头指针的变化而动态变化C. 循环队列中的元素个数随队尾指针的变化而动态变化D. 以上说法都不对15. 算法时间复杂度的度量方法是______。A. 算法程序的长度B. 执行算法所需要的基本运算次数C. 执行算法所需要的所有运算次数D. 执行算法所需要的时间16. [(1)冒泡排序法:是一种最简单的交换类排序法,它是通过相邻数据元素的交换逐步将线性表变成有序。假设线性表的长度为n,则在最坏情况下,冒泡排序需要经过n/2遍的从前往后的扫描和n/2遍的从后往前的扫描,需要比较的次数为n(n-1)/2次。]17. 线性表的顺序存储结构和线性表的链式存储结构分别是______。A. 顺序存取的存储结构、顺序存取的存储结构B. 随机存取的存储结构、顺序存取的存储结构C. 随机存取的存储结构、随机存取的存储结构D. 任意存取的存储结构、任意存取的存储结构18. 设循环队列的存储空间为Q(1:m),初始状态为空。现经过一系列正常的入队与退队操作后,front=m-1,rear=m,此后再向该循环队列中插入一个元素,则队列中的元素个数为______。A. m-1B. 1C. 2D. m19. 下列叙述中正确的是______。A. 栈与队列都只能顺序存储B. 循环队列是队列的顺序存储结构C. 循环链表是循环队列的链式存储结构D. 循环队列不是队列的顺序存储结构20. 设二叉树中共有15个结点,其中的结点值互不相同。如果该二叉树的前序序列与中序序列相同,则该二叉树的深度为______。A. 15B. 6C. 4D. 不存在这样的二叉树21. [(3)冒泡排序法:是一种最简单的交换类排序法,它是通过相邻数据元素的交换逐步将线性表变成有序。假设线性表的长度为n,则在最坏情况下,冒泡排序需要经过n/2遍的从前往后的扫描和n/2遍的从后往前的扫描,需要比较的次数为n(n-1)/2次。因此冒泡排序总的时间复杂度为O(n2)。]22. 下列叙述中正确的是______。A. 每一个结点有两个指针域的链表一定是非线性结构B. 所有结点的指针域都为非空的链表一定是非线性结构C. 循环链表是循环队列的链式存储结构D. 线性结构的存储结点也可以有多个指针23. 设栈的顺序存储空间为S(0:49),栈底指针bottom=49,栈顶指针top=30(指向栈顶元素)。则栈中的元素个数为______。A. 30B. 29C. 20D. 1924. 下列叙述中正确的是______。A. 对同一批数据作不同的处理,如果数据存储结构相同,不同算法的时间复杂度肯定相同B. 解决同一个问题的不同算法的时间复杂度必定是相同的C. 对同一批数据作同一种处理,如果数据存储结构不同,不同算法的时间复杂度肯定相同D. 解决同一个问题的不同算法的时间复杂度一般是不同的25. 能从任意一个结点开始没有重复地扫描到所有结点的数据结构是______。A. 有序链表B. 双向链表C. 二叉链表D. 循环链表26. 下列叙述中正确的是______。A. 循环队列属于队列的链式存储结构B. 双向链表是二叉树的链式存储结构C. 非线性结构只能采用链式存储结构D. 有的非线性结构也可以采用顺序存储结构27. 在最坏情况下______。A. 快速排序的时间复杂度比冒泡排序的时间复杂度要小B. 快速排序的时间复杂度比希尔排序的时间复杂度要小C. 希尔排序的时间复杂度比直接插入排序的时间复杂度要小D. 快速排序的时间复杂度与希尔排序的时间复杂度是一样的28. 下列处理中与队列有关的是______。A. 操作系统中的作业调度B. 执行程序中的过程调用C. 执行程序中的循环控制D. 以上说法均不正确29. 某二叉树的中序遍历序列为 CBADE ,后序遍历序列为 CBEDA ,则前序遍历序列为______。A. CBEDAB. ABCDEC. CBADED. EDCBA30. 下列叙述中错误的是______。A. 不管是顺序栈还是带链的栈,在操作过程中其栈底指针均是固定不变的B. 带链栈的栈底指针在操作过程中是有可能改变的C. 不管是顺序栈还是带链的栈,在操作过程中其栈顶指针均是动态变化的D. 顺序栈的栈底指针在操作过程中是固定不变的31. 循环队列的存储空间为Q(1:50)。经过一系列正常的入队与退队操作后,front=rear=25。后又成功地将一个元素入队,此时队列中的元素个数为______。A. 50B. 1C. 26D. 232. 下列叙述中错误的是______。A. 对于各种特定的输入,算法的时间复杂度是固定不变的B. 算法的时间复杂度与使用的计算机系统无关C. 算法的时间复杂度与使用的程序设计语言无关D. 算法的时间复杂度与实现算法过程中的具体细节无关33. 某二叉树的前序序列为ABDFHCEG,中序序列为HFDBACEG。该二叉树按层次输出(同一层从左到右)的序列为______。A. HFDBGECAB. ABCDEFGHC. HGFEDCBAD. ACEGBDFH34. 在带链栈中,经过一系列正常的操作后,如果top=bottom,则栈中的元素个数为______。A. 1B. 0C. 0或1D. 栈满35. 下列叙述中错误的是______。A. 若二叉树没有叶子结点,则为空二叉树B. 循环队列空的条件是队头指针与队尾指针相同C. 带链栈的栈底指针是随栈的操作而动态变化的D. 若带链队列中只有一个元素,则队头指针与队尾指针必定相同36. 下列叙述中错误的是______。A. 向量是线性结构B. 非空线性结构中只有一个结点没有前件C. 非空线性结构中只有一个结点没有后件D. 只有一个根结点和一个叶子结点的结构必定是线性结构37. 设顺序表的长度为16,对该表进行简单插入排序。在最坏情况下需要的比较次数为______。A. 120B. 60C. 30D. 1538. 某带链栈的初始状态为 top=bottom=NULL,经过一系列正常的入栈与退栈操作后,top=10,bottom=20。该栈中的元素个数为______。A. 不确定B. 10C. 1D. 039. 某二叉树的前序序列为ABDFHCEG,中序序列为HFDBACEG。该二叉树的后序序列为______。A. HFDBGECAB. ABCDEFGHC. HGFEDCBAD. ACEGBDFH40. 下列叙述中正确的是______。A. 循环队列是线性逻辑结构B. 循环队列是线性结构C. 循环队列是链式存储结构D. 循环队列是非线性存储结构41. 设某棵树的度为3,其中度为3,2,1的结点个数分别为3,0,4。则该树中的叶子结点数为______。A. 6B. 8C. 7D. 不可能有这样的树42. 设循环队列的存储空间为Q(1: m),初始状态为 front=rear=m。经过一系列正常的操作后,front=1,rear=m。为了在该队列中寻找值最大的元素,在最坏情况下需要的比较次数为______。A. mB. m-1C. m-2D. 043. 下列叙述中正确的是______。A. 循环链表中至少有一个结点B. 双向链表有两个头指针C. 双向链表有两个头结点D. 循环链表是循环队列的链式存储结构44. 循环队列的存储空间为Q(0:59),初始状态为空。经过一系列正常的入队与退队操作后,front=25,rear=24。循环队列中的元素个数为______。A. 60B. 59C. 2D. 145. 设二叉树的后序序列为DGHEBIJFCA,中序序列为DBGEHACIFJ。则前序序列为______。A. GHIJDEFBCAB. JIHGFEDCBAC. ABDEGHCFIJD. ABCDEFGHIJ46. 树的度为3,且有9个度为3的结点,20个叶子结点,但没有度为1的结点。则该树总的结点数为______。A. 30B. 29C. 47D. 不可能有这样的树47. 假设栈和队列初始状态为空。首先,A,B,C,D依次入栈,X,Y,Z依次入队;然后先将栈中元素依次退栈,再将队中元素依次退队。则退出的所有元素依次为______。A. X,Y,Z,D,C,B,AB. D,C,B,A,X,Y,ZC. A,B,C,D,X,Y,ZD. A,B,C,D,Z,Y,X48. 循环队列的存储空间为Q(1:50),初始状态为空。经过一系列正常的入队与退队操作后,front=1,rear=25。此时该循环队列中的元素个数为______。A. 27B. 26C. 24D. 2549. 设二叉树如下,则中序序列为______。 A. ABDEGCFHB. DBGEAFHCC. DGEBHFCAD. ABCDEFGH50. 设二叉树如下,则后序序列为______。 A. ABDEGCFHB. DBGEAFHCC. DGEBHFCAD. ABCDEFGH51. 某系统总体结构如下图所示,该系统结构图的深度是______。 A. 4B. 3C. 2D. 152. 某系统总体结构图如下图所示,该系统总体结构图的深度是______。 A. 7B. 6C. 3D. 253. 某系统总体结构如下图所示,该系统结构图的最大扇出数是______。 A. 5B. 3C. 2D. 1 提交成功!
全国二级理论——1.2数据结构与算法 本套试题共50题。 1. 班级:格式如“19计应31”2. 学号:10位数完整格式3. 姓名:4. 下列叙述中正确的是______。A. 顺序存储结构的存储一定是连续的,链式存储结构的存储空间不一定是连续的B. 顺序存储结构只针对线性结构,链式存储结构只针对非线性结构C. 顺序存储结构能存储有序表,链式存储结构不能存储有序表D. 链式存储结构比顺序存储结构节省存储空间5. 下列叙述中正确的是______。A. 线性表的链式存储结构与顺序存储结构所需要的存储空间是相同的B. 线性表的链式存储结构所需要的存储空间一般要多于顺序存储结构C. 线性表的链式存储结构所需要的存储空间一般要少于顺序存储结构D. 上述三种说法都不对6. 一棵二叉树中共有70个叶子结点与80个度为1的结点,则该二叉树中的总结点数为______。A. 219B. 221C. 229D. 2317. 下列叙述中正确的是______。A. 一个逻辑数据结构只能有一种存储结构B. 数据的逻辑结构属于线性结构,存储结构属于非线性结构C. 一个逻辑数据结构可以有多种存储结构,且各种存储结构不影响数据处理的效率D. 一个逻辑数据结构可以有多种存储结构,且各种存储结构影响数据处理的效率8. 下列叙述中正确的是______。A. 线性表链式存储结构的存储空间一般要少于顺序存储结构B. 线性表链式存储结构与顺序存储结构的存储空间都是连续的C. 线性表链式存储结构的存储空间可以是连续的,也可以是不连续的D. 以上说法都不对9. [(1)冒泡排序法:是一种最简单的交换类排序法,它是通过相邻数据元素的交换逐步将线性表变成有序。假设线性表的长度为n,则在最坏情况下,冒泡排序需要经过n/2遍的从前往后的扫描和n/2遍的从后往前的扫描,需要比较的次数为n(n-1)/2次。因此冒泡排序总的时间复杂度为O(n2)。]10. [(2)直接插入排序:每次从无序表中取出第一个元素,把它插入到有序表的合适位置,使有序表仍然有序。直接插入排序属于稳定的排序,最坏时间复杂度为O(n2)。]11. 某二叉树的前序序列为ABCD,中序序列为DCBA,则后序序列为______。A. BADCB. DCBAC. CDABD. ABCD12. 一个栈的初始状态为空。现将元素1、2、3、4、5、A、B、C、D、E依次入栈,然后再依次出栈,则元素出栈的顺序是______。A. 12345ABCDEB. EDCBA54321C. ABCDE12345D. 54321EDCBA13. 下列序列中不满足堆条件的是______。A. (98,95,93,94,89,90,76,80,55,49)B. (98,95,93,94,89,85,76,64,55,49)C. (98,95,93,94,89,90,76,64,55,49)D. (98,95,93,96,89,85,76,64,55,49)14. 下列叙述中正确的是______。A. 循环队列中的元素个数随队头指针与队尾指针的变化而动态变化B. 循环队列中的元素个数随队头指针的变化而动态变化C. 循环队列中的元素个数随队尾指针的变化而动态变化D. 以上说法都不对15. 算法时间复杂度的度量方法是______。A. 算法程序的长度B. 执行算法所需要的基本运算次数C. 执行算法所需要的所有运算次数D. 执行算法所需要的时间16. [(1)冒泡排序法:是一种最简单的交换类排序法,它是通过相邻数据元素的交换逐步将线性表变成有序。假设线性表的长度为n,则在最坏情况下,冒泡排序需要经过n/2遍的从前往后的扫描和n/2遍的从后往前的扫描,需要比较的次数为n(n-1)/2次。]17. 线性表的顺序存储结构和线性表的链式存储结构分别是______。A. 顺序存取的存储结构、顺序存取的存储结构B. 随机存取的存储结构、顺序存取的存储结构C. 随机存取的存储结构、随机存取的存储结构D. 任意存取的存储结构、任意存取的存储结构18. 设循环队列的存储空间为Q(1:m),初始状态为空。现经过一系列正常的入队与退队操作后,front=m-1,rear=m,此后再向该循环队列中插入一个元素,则队列中的元素个数为______。A. m-1B. 1C. 2D. m19. 下列叙述中正确的是______。A. 栈与队列都只能顺序存储B. 循环队列是队列的顺序存储结构C. 循环链表是循环队列的链式存储结构D. 循环队列不是队列的顺序存储结构20. 设二叉树中共有15个结点,其中的结点值互不相同。如果该二叉树的前序序列与中序序列相同,则该二叉树的深度为______。A. 15B. 6C. 4D. 不存在这样的二叉树21. [(3)冒泡排序法:是一种最简单的交换类排序法,它是通过相邻数据元素的交换逐步将线性表变成有序。假设线性表的长度为n,则在最坏情况下,冒泡排序需要经过n/2遍的从前往后的扫描和n/2遍的从后往前的扫描,需要比较的次数为n(n-1)/2次。因此冒泡排序总的时间复杂度为O(n2)。]22. 下列叙述中正确的是______。A. 每一个结点有两个指针域的链表一定是非线性结构B. 所有结点的指针域都为非空的链表一定是非线性结构C. 循环链表是循环队列的链式存储结构D. 线性结构的存储结点也可以有多个指针23. 设栈的顺序存储空间为S(0:49),栈底指针bottom=49,栈顶指针top=30(指向栈顶元素)。则栈中的元素个数为______。A. 30B. 29C. 20D. 1924. 下列叙述中正确的是______。A. 对同一批数据作不同的处理,如果数据存储结构相同,不同算法的时间复杂度肯定相同B. 解决同一个问题的不同算法的时间复杂度必定是相同的C. 对同一批数据作同一种处理,如果数据存储结构不同,不同算法的时间复杂度肯定相同D. 解决同一个问题的不同算法的时间复杂度一般是不同的25. 能从任意一个结点开始没有重复地扫描到所有结点的数据结构是______。A. 有序链表B. 双向链表C. 二叉链表D. 循环链表26. 下列叙述中正确的是______。A. 循环队列属于队列的链式存储结构B. 双向链表是二叉树的链式存储结构C. 非线性结构只能采用链式存储结构D. 有的非线性结构也可以采用顺序存储结构27. 在最坏情况下______。A. 快速排序的时间复杂度比冒泡排序的时间复杂度要小B. 快速排序的时间复杂度比希尔排序的时间复杂度要小C. 希尔排序的时间复杂度比直接插入排序的时间复杂度要小D. 快速排序的时间复杂度与希尔排序的时间复杂度是一样的28. 下列处理中与队列有关的是______。A. 操作系统中的作业调度B. 执行程序中的过程调用C. 执行程序中的循环控制D. 以上说法均不正确29. 某二叉树的中序遍历序列为 CBADE ,后序遍历序列为 CBEDA ,则前序遍历序列为______。A. CBEDAB. ABCDEC. CBADED. EDCBA30. 下列叙述中错误的是______。A. 不管是顺序栈还是带链的栈,在操作过程中其栈底指针均是固定不变的B. 带链栈的栈底指针在操作过程中是有可能改变的C. 不管是顺序栈还是带链的栈,在操作过程中其栈顶指针均是动态变化的D. 顺序栈的栈底指针在操作过程中是固定不变的31. 循环队列的存储空间为Q(1:50)。经过一系列正常的入队与退队操作后,front=rear=25。后又成功地将一个元素入队,此时队列中的元素个数为______。A. 50B. 1C. 26D. 232. 下列叙述中错误的是______。A. 对于各种特定的输入,算法的时间复杂度是固定不变的B. 算法的时间复杂度与使用的计算机系统无关C. 算法的时间复杂度与使用的程序设计语言无关D. 算法的时间复杂度与实现算法过程中的具体细节无关33. 某二叉树的前序序列为ABDFHCEG,中序序列为HFDBACEG。该二叉树按层次输出(同一层从左到右)的序列为______。A. HFDBGECAB. ABCDEFGHC. HGFEDCBAD. ACEGBDFH34. 在带链栈中,经过一系列正常的操作后,如果top=bottom,则栈中的元素个数为______。A. 1B. 0C. 0或1D. 栈满35. 下列叙述中错误的是______。A. 若二叉树没有叶子结点,则为空二叉树B. 循环队列空的条件是队头指针与队尾指针相同C. 带链栈的栈底指针是随栈的操作而动态变化的D. 若带链队列中只有一个元素,则队头指针与队尾指针必定相同36. 下列叙述中错误的是______。A. 向量是线性结构B. 非空线性结构中只有一个结点没有前件C. 非空线性结构中只有一个结点没有后件D. 只有一个根结点和一个叶子结点的结构必定是线性结构37. 设顺序表的长度为16,对该表进行简单插入排序。在最坏情况下需要的比较次数为______。A. 120B. 60C. 30D. 1538. 某带链栈的初始状态为 top=bottom=NULL,经过一系列正常的入栈与退栈操作后,top=10,bottom=20。该栈中的元素个数为______。A. 不确定B. 10C. 1D. 039. 某二叉树的前序序列为ABDFHCEG,中序序列为HFDBACEG。该二叉树的后序序列为______。A. HFDBGECAB. ABCDEFGHC. HGFEDCBAD. ACEGBDFH40. 下列叙述中正确的是______。A. 循环队列是线性逻辑结构B. 循环队列是线性结构C. 循环队列是链式存储结构D. 循环队列是非线性存储结构41. 设某棵树的度为3,其中度为3,2,1的结点个数分别为3,0,4。则该树中的叶子结点数为______。A. 6B. 8C. 7D. 不可能有这样的树42. 设循环队列的存储空间为Q(1: m),初始状态为 front=rear=m。经过一系列正常的操作后,front=1,rear=m。为了在该队列中寻找值最大的元素,在最坏情况下需要的比较次数为______。A. mB. m-1C. m-2D. 043. 下列叙述中正确的是______。A. 循环链表中至少有一个结点B. 双向链表有两个头指针C. 双向链表有两个头结点D. 循环链表是循环队列的链式存储结构44. 循环队列的存储空间为Q(0:59),初始状态为空。经过一系列正常的入队与退队操作后,front=25,rear=24。循环队列中的元素个数为______。A. 60B. 59C. 2D. 145. 设二叉树的后序序列为DGHEBIJFCA,中序序列为DBGEHACIFJ。则前序序列为______。A. GHIJDEFBCAB. JIHGFEDCBAC. ABDEGHCFIJD. ABCDEFGHIJ46. 树的度为3,且有9个度为3的结点,20个叶子结点,但没有度为1的结点。则该树总的结点数为______。A. 30B. 29C. 47D. 不可能有这样的树47. 假设栈和队列初始状态为空。首先,A,B,C,D依次入栈,X,Y,Z依次入队;然后先将栈中元素依次退栈,再将队中元素依次退队。则退出的所有元素依次为______。A. X,Y,Z,D,C,B,AB. D,C,B,A,X,Y,ZC. A,B,C,D,X,Y,ZD. A,B,C,D,Z,Y,X48. 循环队列的存储空间为Q(1:50),初始状态为空。经过一系列正常的入队与退队操作后,front=1,rear=25。此时该循环队列中的元素个数为______。A. 27B. 26C. 24D. 2549. 设二叉树如下,则中序序列为______。 A. ABDEGCFHB. DBGEAFHCC. DGEBHFCAD. ABCDEFGH50. 设二叉树如下,则后序序列为______。 A. ABDEGCFHB. DBGEAFHCC. DGEBHFCAD. ABCDEFGH51. 某系统总体结构如下图所示,该系统结构图的深度是______。 A. 4B. 3C. 2D. 152. 某系统总体结构图如下图所示,该系统总体结构图的深度是______。 A. 7B. 6C. 3D. 253. 某系统总体结构如下图所示,该系统结构图的最大扇出数是______。 A. 5B. 3C. 2D. 1 提交成功!
4. 下列叙述中正确的是______。A. 顺序存储结构的存储一定是连续的,链式存储结构的存储空间不一定是连续的B. 顺序存储结构只针对线性结构,链式存储结构只针对非线性结构C. 顺序存储结构能存储有序表,链式存储结构不能存储有序表D. 链式存储结构比顺序存储结构节省存储空间
5. 下列叙述中正确的是______。A. 线性表的链式存储结构与顺序存储结构所需要的存储空间是相同的B. 线性表的链式存储结构所需要的存储空间一般要多于顺序存储结构C. 线性表的链式存储结构所需要的存储空间一般要少于顺序存储结构D. 上述三种说法都不对
7. 下列叙述中正确的是______。A. 一个逻辑数据结构只能有一种存储结构B. 数据的逻辑结构属于线性结构,存储结构属于非线性结构C. 一个逻辑数据结构可以有多种存储结构,且各种存储结构不影响数据处理的效率D. 一个逻辑数据结构可以有多种存储结构,且各种存储结构影响数据处理的效率
8. 下列叙述中正确的是______。A. 线性表链式存储结构的存储空间一般要少于顺序存储结构B. 线性表链式存储结构与顺序存储结构的存储空间都是连续的C. 线性表链式存储结构的存储空间可以是连续的,也可以是不连续的D. 以上说法都不对
9. [(1)冒泡排序法:是一种最简单的交换类排序法,它是通过相邻数据元素的交换逐步将线性表变成有序。假设线性表的长度为n,则在最坏情况下,冒泡排序需要经过n/2遍的从前往后的扫描和n/2遍的从后往前的扫描,需要比较的次数为n(n-1)/2次。因此冒泡排序总的时间复杂度为O(n2)。]
12. 一个栈的初始状态为空。现将元素1、2、3、4、5、A、B、C、D、E依次入栈,然后再依次出栈,则元素出栈的顺序是______。A. 12345ABCDEB. EDCBA54321C. ABCDE12345D. 54321EDCBA
13. 下列序列中不满足堆条件的是______。A. (98,95,93,94,89,90,76,80,55,49)B. (98,95,93,94,89,85,76,64,55,49)C. (98,95,93,94,89,90,76,64,55,49)D. (98,95,93,96,89,85,76,64,55,49)
14. 下列叙述中正确的是______。A. 循环队列中的元素个数随队头指针与队尾指针的变化而动态变化B. 循环队列中的元素个数随队头指针的变化而动态变化C. 循环队列中的元素个数随队尾指针的变化而动态变化D. 以上说法都不对
16. [(1)冒泡排序法:是一种最简单的交换类排序法,它是通过相邻数据元素的交换逐步将线性表变成有序。假设线性表的长度为n,则在最坏情况下,冒泡排序需要经过n/2遍的从前往后的扫描和n/2遍的从后往前的扫描,需要比较的次数为n(n-1)/2次。]
17. 线性表的顺序存储结构和线性表的链式存储结构分别是______。A. 顺序存取的存储结构、顺序存取的存储结构B. 随机存取的存储结构、顺序存取的存储结构C. 随机存取的存储结构、随机存取的存储结构D. 任意存取的存储结构、任意存取的存储结构
18. 设循环队列的存储空间为Q(1:m),初始状态为空。现经过一系列正常的入队与退队操作后,front=m-1,rear=m,此后再向该循环队列中插入一个元素,则队列中的元素个数为______。A. m-1B. 1C. 2D. m
21. [(3)冒泡排序法:是一种最简单的交换类排序法,它是通过相邻数据元素的交换逐步将线性表变成有序。假设线性表的长度为n,则在最坏情况下,冒泡排序需要经过n/2遍的从前往后的扫描和n/2遍的从后往前的扫描,需要比较的次数为n(n-1)/2次。因此冒泡排序总的时间复杂度为O(n2)。]
22. 下列叙述中正确的是______。A. 每一个结点有两个指针域的链表一定是非线性结构B. 所有结点的指针域都为非空的链表一定是非线性结构C. 循环链表是循环队列的链式存储结构D. 线性结构的存储结点也可以有多个指针
24. 下列叙述中正确的是______。A. 对同一批数据作不同的处理,如果数据存储结构相同,不同算法的时间复杂度肯定相同B. 解决同一个问题的不同算法的时间复杂度必定是相同的C. 对同一批数据作同一种处理,如果数据存储结构不同,不同算法的时间复杂度肯定相同D. 解决同一个问题的不同算法的时间复杂度一般是不同的
27. 在最坏情况下______。A. 快速排序的时间复杂度比冒泡排序的时间复杂度要小B. 快速排序的时间复杂度比希尔排序的时间复杂度要小C. 希尔排序的时间复杂度比直接插入排序的时间复杂度要小D. 快速排序的时间复杂度与希尔排序的时间复杂度是一样的
30. 下列叙述中错误的是______。A. 不管是顺序栈还是带链的栈,在操作过程中其栈底指针均是固定不变的B. 带链栈的栈底指针在操作过程中是有可能改变的C. 不管是顺序栈还是带链的栈,在操作过程中其栈顶指针均是动态变化的D. 顺序栈的栈底指针在操作过程中是固定不变的
31. 循环队列的存储空间为Q(1:50)。经过一系列正常的入队与退队操作后,front=rear=25。后又成功地将一个元素入队,此时队列中的元素个数为______。A. 50B. 1C. 26D. 2
32. 下列叙述中错误的是______。A. 对于各种特定的输入,算法的时间复杂度是固定不变的B. 算法的时间复杂度与使用的计算机系统无关C. 算法的时间复杂度与使用的程序设计语言无关D. 算法的时间复杂度与实现算法过程中的具体细节无关
33. 某二叉树的前序序列为ABDFHCEG,中序序列为HFDBACEG。该二叉树按层次输出(同一层从左到右)的序列为______。A. HFDBGECAB. ABCDEFGHC. HGFEDCBAD. ACEGBDFH
35. 下列叙述中错误的是______。A. 若二叉树没有叶子结点,则为空二叉树B. 循环队列空的条件是队头指针与队尾指针相同C. 带链栈的栈底指针是随栈的操作而动态变化的D. 若带链队列中只有一个元素,则队头指针与队尾指针必定相同
42. 设循环队列的存储空间为Q(1: m),初始状态为 front=rear=m。经过一系列正常的操作后,front=1,rear=m。为了在该队列中寻找值最大的元素,在最坏情况下需要的比较次数为______。A. mB. m-1C. m-2D. 0
45. 设二叉树的后序序列为DGHEBIJFCA,中序序列为DBGEHACIFJ。则前序序列为______。A. GHIJDEFBCAB. JIHGFEDCBAC. ABDEGHCFIJD. ABCDEFGHIJ
47. 假设栈和队列初始状态为空。首先,A,B,C,D依次入栈,X,Y,Z依次入队;然后先将栈中元素依次退栈,再将队中元素依次退队。则退出的所有元素依次为______。A. X,Y,Z,D,C,B,AB. D,C,B,A,X,Y,ZC. A,B,C,D,X,Y,ZD. A,B,C,D,Z,Y,X
48. 循环队列的存储空间为Q(1:50),初始状态为空。经过一系列正常的入队与退队操作后,front=1,rear=25。此时该循环队列中的元素个数为______。A. 27B. 26C. 24D. 25